Vivado
Inhaltsverzeichnis
Programmieren / Hardware Manager
Direct digital synthesizers (DDS)
Phase Generator and SIN/COS LUT (DDS)
Basys3
https://reference.digilentinc.com/basys3:basys3
Master Constraints File XDC
https://reference.digilentinc.com/_media/basys3:basys3_master.zip
Referenz-Projekt
100MZh Clock auf Port W5
Xilinx University Basys3 Board Plugin und Projekte
http://www.instructables.com/id/Basic-Stopwatch-Using-VHDL-and-Basys3-Board/
PMOD Connectors
Programmieren / Hardware Manager
* Programmier-Jumper neben USB-A Buchse in Mittelstellung (JTAG)
* Strom einschalten
* USB Programmier-Kabel in Mikro-Usb Buchse
* Hardware-Manager starten und "Autoconnect"
Probleme: mögliche Lösungen
* USB-Kabel / mehrere Kabel ausprobieren
* Hardware-Server als Administrator starten
>gksudo -k -u root /mnt/opt/Xilinx/Vivado/2017.4/bin/hw_server
Block Design
1. Im Blockdesign IP- (4,3,2) und VHDL-Module (1) kombinieren
2. Make External erzeugt die Ports nach Außen
3. DRC Design Rules Check "Validate Design F6"
3. "Create HDL Wrapper" erzeugt einen Wrapper (5) für das Blockdesign (6), der dann implementiert werden kann.
FAQ
AR# 59355 Vivado IP Flows - How to use one Block Design inside another Block Design?
XADC
https://www.xilinx.com/support/documentation/user_guides/ug480_7Series_XADC.pdf
Einstellung für Single Conversion Unipolar (Input an Stecker JXADC Pin 4 = +Input, darunter -Input);
Continuous Sampling … automatische Konvertierung; für die Ausgabe der Daten werden die Pins EOC (end of conversion) mit DEN ( … oder so ähnlich, data enable ) verbunden, dadurch wird nach jeder Umwandlung das Datenregister ausgegeben.
INIT_40 => X"0000", -- config reg 0 Avaraging 16 Samples/no ext. Mux/
Unipolar Mode/continuous sampling/
INIT_41 => X"210F", -- config reg 1 continuous sequence/no alarms/disable calibration
INIT_42 => X"0400", -- config reg 2 ADC Clock = DCLK/4
INIT_48 => X"0000", -- Sequencer channel selection
INIT_49 => X"C0C0", -- Sequencer channel selection VAUXP 6/7 14/15
INIT_4A => X"0000", -- Sequencer Average selection
INIT_4B => X"0000", -- Sequencer Average selection
INIT_4C => X"0000", -- Sequencer Bipolar selection
INIT_4D => X"0000", -- Sequencer Bipolar selection
INIT_4E => X"0000", -- Sequencer Acq time selection
INIT_4F => X"0000", -- Sequencer Acq time selection
INIT_50 => X"B5ED", -- Temp alarm trigger
INIT_51 => X"57E4", -- Vccint upper alarm limit
INIT_52 => X"A147", -- Vccaux upper alarm limit
INIT_53 => X"CA33", -- Temp alarm OT upper
INIT_54 => X"A93A", -- Temp alarm reset
INIT_55 => X"52C6", -- Vccint lower alarm limit
INIT_56 => X"9555", -- Vccaux lower alarm limit
INIT_57 => X"AE4E", -- Temp alarm OT reset
INIT_58 => X"5999", -- Vccbram upper alarm limit
INIT_5C => X"5111", -- Vccbram lower alarm limit
FIR
hier sieht man: als Impulsantwort erhält man nach die Koeffizienten des Filters 24 Bit 2er Komplement
Wenn hier die 300MHz eingetragen sind dauert es 300000 Zyklen, bis der nächste Wert verarbeitet wird.
Direct digital synthesizers (DDS)
PINC … Phaseninkrement
POFF … Phasenoffset
Modi: PINC/POFF
-
fixed, programmed at compile time
-
programmable using CONFIG channel‘s TDATA subfields
-
streaming using input PHASE channel with optional RESYNC
Rasterized Mode: der Einheitskreis 360* wird in N Teile geteilt (modulus 0 – N-1)
z.B: N=100 für einen Winkel von 90° ist der Wert φ = 25, für -90°=270°=> φ = 75
im Rasterized Mode wird für jedes Phasenargument auch eine Stützstelle in der LUT zur Verfügung gestellt, die Phase braucht daher nicht nachträglich quantisiert zu werden; nur möglich, wenn die gewünschte Ausgangsfrequenz ein rationales Verhältnis zum Systemtakt hat fout = clk*m/n; man kann auf Dithering bzw. Taylor Korrektur verzichten
Systemparameter: PINC/POFF werden berechnet
SIN/COS LUT
die Phase wird über einen externen Zähler an die LUT angelegt; Taylor Reihen Korrektur erhöht den Störabstand.
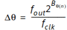
Phase Generator and SIN/COS LUT (DDS)
interner Phasengenerator + LUT ; Taylor Reihen Korrektur und Phasen-Dithering optional
Illustration 1: https://www.xilinx.com/support/documentation/ip_documentation/dds_compiler/v6_0/pg141-dds-compiler.pdf
Δθ … hochauflösender Phasenwinkel, Δϴ … quantisierter Phasenwinkel, Bδθ … Bitanzahl
Anzahl der Stützstellen: N = 2 Bδθ

Pharsen-Wortbreite Δθ am Eingang
Multichannel
Time-Multiplex
Basic Handshake
1. Daten anlegen => Master sendet TVALID
2. Slave TREADY => Master übernimmt die Daten mit dem nächsten Clock
3. bei Multichannel muss jetzt mit jedem Takt ein neues Datum angeboten werden, diese werden nacheinander eingelesen
4. ist der letzte Weret eingelesen, dann geht TVALID wieder auf FALSE und der Slave stoppt die Eingabe
Alle Datenpfade können auf TREADY verzichten, CONFIG Kanal aber muss TREADY verwalten.
CONFIG Kanal
benötigt ein TLAST, wenn mehrere Kanäle, bei Single Channel gibt es kein TLAST
Beispiel 3 Kanal
hier ist alles ok
wenn der DDS auf 16 Kanäle programmiert ist, müssen auch 16 Config-Daten übertragen werden. Hier kann man erkennen, wie die gleiche Sequenz wie oben zu einem tlast_unexpected Fehlersignal führt.
Anmerkung: Chan ID Field (2) gibt die Zusatzinfo aus, welcher Kanal gerade aktiv ist;
RS232 gesteuerter Mehrkanal-Sinusgenerator
Die drei Sinus-Signale werden im Zeitmultiplex vom DDS digital ausgegeben und über einen Sigma-Delta-Umsetzer als PWM Signal ausgegeben.
Serielle Schnittstelle sendet binäre Daten 00 (Start) – 03 (Anzahl der Kanäle) – MSB Kanal1 LSB Kanal1 – MSB Kanal2 LSB Kanal2 – MSB Kanal3 LSB Kanal3
Die Kanaldaten werden als 16bit Wort in ein Fifo abgelegt und dann mit dem richtigen Timing an den DDS übergeben. Der DDS erzeugt ein 3-Kanaliges Sinus-Signal und gibt es über einen Sigma-Delta Wandler analog aus.
Der Clocking-Wizard erzeugt zwei phasenverschobene Taktsignale damit die Übergabe der Daten an den DDS und an den DAC funktioniert. Achtung! DDS verwemdet 2er Komplement Darstellung, diese wird im PWM Modul in Offset Binary umgewandelt (durch Addition von 0x0fff).
Ansteuerung (Ubuntu Linux)
Binärfile erstellen
1) binmake installieren
$ git clone https://github.com/dadadel/binmake
$ cd binmake
$ make
2) Textdatei erstellen
https://stackoverflow.com/questions/8521240/create-binary-file-in-bash#8831573
3) Konvertieren
$ ./binmake file.txt file.bin
Umstellen der Baudrate
> stty -F /dev/ttyUSB1 57600
Senden des Binärfiles
> cat file.bin >/dev/ttyUSB1
Probleme (Version v6)
+ jeder Kanal arbeitet mit Amplude 1, sollte anpassbar sein (es wird vom DDS eine Kanalnummer ausgegeben; diese kann verwendet werden, um den einzelnen Kanal herauszufiltern)
+ die Qualität des Signals muss überprüft werden; es handelt sich um einen sehr einfachen SigmaDelta Wandler. Bei der Ausgabe von Signalen θ=0 (Gleichspannung) entstehen hochfrequente Artefakte.
+ um digitale Filter testen zu können müssen die einzelnen Kanäle addiert werden d.h. die Kanaldaten separiert, zeitversetzt werden bevor sie addiert werden können.
+ sollte das zu aufwändig sein könnte man 3 separate DDS Blöcke verwenden und anschließend addieren.





















